01 材料與方法
01材料
水果酵素紅茶固體飲料(自研)、市售水果紅茶飲料、一次性品評杯,托盤,純凈水,評價表,筆,紙巾
02準備條件
所有樣品按產品建議沖泡方式進行沖泡,再冷卻至室溫(25℃ ) 進行評價,對7個樣品進行隨機三位數字編號,具體見表 1。

03評價員的選擇與培訓
評價員的選擇與培訓 感官評價員選擇具有食品專業研究背景的研究單位學生,選擇 70 名評價員進行初級培訓和考核。通過篩選,選拔 40 名評價員組成評價小組,對評價員進行編號。
04偏愛排序檢驗法:
依據《GB / T 12315 -2008 感官分析 方法學 排序法》,將 607、421、368、279、876、935 和 581 樣品以均衡隨機的順序分成 40組,樣品外觀、溫度和樣品量滿足均一性,分別給每位品評員一組樣品。要求評價員按照評價表上的評價要求獨立進行樣品品評,按喜好程度對 7 個樣品進行排序,并將排序結果寫在評價表上。
05成對比較檢驗法:
依據國標《GB / T 12310- 2012 感官分析方法 成對比較檢驗》,根據偏愛排序檢驗法的統計結果,選用排序結果第一和第二的產品,進行成對比較檢驗。選擇甜度、澀味、香氣和茶味作為成對比較檢驗法的感官性質。檢驗時,將樣品按均一性要求準備好,提供給40 位評價員,要求評價員進行較評價,并將結果填寫在評價表中。
06結果分析方法:
統計 40 份有效評價表中的數據,對于偏愛排序檢驗的結果,使用 Friedman 檢驗和多重比較和分組進行分析,對照表為表 2。對于成對比較檢驗結果,在某顯著水平下,與成對比較檢驗表( 表 3)中對應的數值進行比較。若某樣品的選擇答案數大于或等于表中相應的數,則說明在此顯著水平下,2 個樣品之間有顯著差異,否則無顯著差異。


02結果與分析
01偏愛排序檢驗結果:
試驗得到40名評價員對7個樣品的偏愛排序檢驗結果,見表 4。



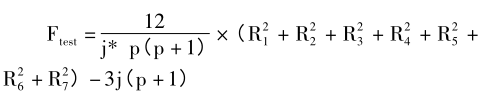
02Friedman檢驗:
計算統計量 F test。由表 4可得,j = 40,p = 7,R1 = 135,R2 = 204,R3 = 109,R4 =122,R5 = 221,R6 = 244,R7 = 85,根據公式計算可得,Ftest = 123.26,查閱表 2,j = 40,p = 7,α = 0.01 時所對應的臨界值為16.81,拒絕假設,認為產品的秩次間存在極顯著差異,即消費者對試驗中 7 種水果紅茶產品的喜好有極顯著差異。
03多重比較和分組:
計算每兩個樣品秩次和之差,若絕對值大于或等于最小顯著差( LSD),則可以認為二者有顯著性差異; 若絕對值小于 LSD 值,則這兩個樣品之間無顯著性差異。
(1) 計算最小顯著差( LSD)
在顯著水平為0.05時,具體公式如下:

計算可得,LSD = 37.87
(2) 比較與分組
在0.05的顯著性水平下,由表4可得,樣品 581 與 607、421、876、935的秩次和之差的絕對值大于LSD值,有顯著性差異,與368、279 無顯著性差異; 樣品 368 與 421、876、935 之間有顯著性差異,與 607、279 無顯著性差異; 樣品279 與 421、876、935 之間有顯著性差異,與 607 之間無顯著性差異; 樣品 607 與 421、876、935 之間有顯著性差異; 樣品 421 與 935 有顯著性差異,與 876 無顯著性差異; 樣品 876 與 935 無顯著性差異。
若在顯著水平為0.05時,用未經連續下劃線連接的樣品與其他樣品間存在顯著性差異,連續下劃線連接的樣品無顯著性差異來表示,則以上結果可表示為: 581 368 279 607 421 876 935
由此可得出結論,在0.05顯著水平下,7 個樣品可分為4組,第一組為581、368、279,第二組為607,第三組為421、876,第四組為935。
在偏愛排序檢驗中,評價員的喜好排序為 581、368、279、607、421、876、935,即為蜜桃芒果紅茶、水果酵素紅茶、莓果紅茶、檸檬紅茶、蘋果紅茶、菠蘿紅茶、荔枝紅茶,總體排序結果有極顯著差異; 排序前三的產品為蜜桃芒果紅茶、水果酵素紅茶、莓果紅茶,經過比較與分組,發現三者間的喜好差異不顯著。
根據排序檢驗的結果,選擇排序第一和第二的蜜桃芒果紅茶、水果酵素紅茶進行成對比較檢驗。
04成對比較檢驗結果:
試驗得到 40 名評價員對 581 和 368 兩個樣品的成對比較檢驗結果,見表 5。

4個感官特性喜好結果匯總表見表6。

由表 6 可知,在成對比較檢驗中,有 24 人更喜愛 368 的甜 味,查表 3 可得,當 n = 40 時,在 α =0. 05 的顯著水平下,24 < 27 ( 0. 05),說明在此顯著水平下,評價員對兩個樣品甜味的喜好無顯著性差異; 同理可得,在對澀味( 21 < 27) 和茶味( 22 < 27)的比較結果中差異不顯著。而在對兩個樣品香氣的喜好比較中,有36人選擇了 581 樣品,n=40時,在α=0.01的顯著水平下,36 > 29( 0. 01),說明在此顯著水平下,評價員對兩個樣品香氣的喜好具有顯著性差異。
03結論
通過對 7 種水果紅茶飲料產品的偏好排序檢驗發現: 在顯著水平為 0. 01 時,品評員對 7 種樣品的喜好有顯著性差異,蜜桃芒果紅茶最受歡迎,水果酵素紅茶次之,然后依次是莓果紅茶、檸檬紅茶、蘋果紅茶、菠蘿紅茶和荔枝紅茶; 在比較和分組時發現,品評員對蜜桃芒果紅茶、水果酵素紅茶、莓果紅茶三者的喜好差異不顯著。在對蜜桃芒果紅茶和水果酵素紅茶展開的成對比較檢驗中發現,消費者比較喜歡水果酵素紅茶的甜味、澀味和茶味,但結果不顯著; 在香氣對比中,品評員多數選擇了蜜桃芒果紅茶,檢驗結果在0.01的顯著水平上有差異。因此,在水果紅茶飲料產品的品質改良上,應注意增添產品的香氣或改進加工工藝、減少香味損失,適當增加甜味,選用品質優良的紅茶作為飲料原料、提升產品茶味、降低澀味,生產出更受消費者喜好的產品。

