1 評分檢驗法適用范圍
由于評分檢驗法可同時評定一種或多種產品的一個或多種特征的強度及其差別,所以應用較為廣泛,尤其適用于新產品的鑒別。評分檢驗法是現代食品感官評定中較為常用的方法。
2 評分方法分類和評分標準
要做好食品感官質量的評分,并非易事,因為食品的感官評定是以人的感覺器官為測量儀器進行評定的,而且評分檢驗法是要把感官評定的結果用數字表示。評分檢驗法要求:首先評分標準要科學合理;其次感官評定人員應具有較高的理論與實踐水平;再次評分程序要合理;最后評分結果須采用統計學方法處理。
3 評分法分類
3.1 直接評分法
首先一一列出產品中需要進行感官分析的項目,然后按其性質與內容的主次關系進行分類歸納。性質相互獨立不能歸屬的主要項目,稱為母項,在其下面具有從屬關系的各項內容,稱為子項,從而組成感官分析的指標體系。
規定產品各母項均能完全符合評分標準的評分之和為100分,按照各母項在產品質量中的重要程度分別賦以不同的分值Xi,∑Xi=100。例如,某產品感官分析的母項有A、B、C、D4項,每個母項的分值為34、30、20、16,顯然,∑Xi=34+30+20+16=100。對于子項,同樣按其在母項中的地位,分別賦予分值工;。如7A項的滿分為34,它由a、b、c、d 4個子項組成,賦予子項的分值分別為12、10、7、5,故有12+10+7+5=34。
評分只對子項進行,母項的得分與產品的總分都是在計算子項得分后得到的。為此,對每個子項都要規定其獲得滿分和扣分的條件及標準。在進行感官分析時,子項完全符合評分標準,就給滿分﹔子項存在任何缺陷時,按缺陷的嚴重程度或規定的扣分方法進行活當扣分。
當產品每個母項的得分計算出以后,累加每個母項的得分就是這個產品的總分。
3.2 加權系數法
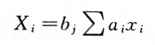
這種方法主要是要給評定指標確定加權系數。先將需要評分的各母項、子項分別按其在產品和母項的重要程度,確定其加權系數bj,和ai。母項的加權系數是對產品來確定的,各母項加權系數之和∑bj=1,各子項的加權系數是對母項來確定的,各子項加權系數之和∑ai=1。
在評分時,按子項的實際情況,對照評分標準要求,在0~100分評分,然后用公式計算母項的得分Xi:

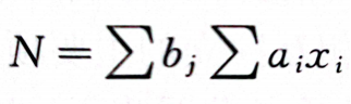
再累加各母項的得分,就得該產品的總得分N:

3.3子項分檔評分法
評分都是從子項開始的,如果評分員的經驗與掌握評分標準的程度不同,往往出現評分的跳動很大。為了避免這種情況,提高評分的靈敏度,減少評分的誤差,將子項的賦分值再按質量要求分檔,要么是一個固定值,要么是一個給定的分值范圍。例如,將某子項的給分分為上、中、下3檔,每檔的標準分數為8、7.5、7.0。在評分時,分析員判斷此子項質量屬上檔時,給8分;判中檔時給7.5分;判下檔時給7.0分。
若按照子項是一個范圍內取值,如可以將某子項的給分分為4檔,每檔的取分范圍為100~76,75~50,49~26,25~O,評價員在此范圍內取值,然后再乘以加權系數,最后得到的就是這個指標的分值,見下表。

注:表中(bj=0.37)表示這個指標在總分中的加權系數。
上述3種評分辦法中,當安全、衛生質量的缺陷嚴重到使產品喪失使用價值或對人體有害時,則不論項目得分多少,總分一律為0分。
4 評分標準
4.1 評分制定原則
對產品做感官檢驗的評分法的方式方法有多種,產品又多種多樣,為使評分方法切實可行,在制定產品質量感官檢驗的評分方法時,應按照下列原則:
(1) 進行感官檢驗的項目,只能是目前還不能用儀表設備來進行理化檢測的項目。
(2) 需要感官檢驗的項目,應按其在整個產品質量中的地位,分出主次,進行歸屬,組成指標體系。其中從屬于產品而內容相互獨立的主要項目為母項,從屬于母項的內容為子項。指標體系安排得越嚴密、合理,主次越分明,評分的結果越正確。
(3) 各母項按其在產品感官質量中的重要性分別賦予滿分值或加權系數。各母項滿分值之和為100,各項加權系數之和為1。各母項的滿分值或加權系數,應使主要項目在產品評分中,在取得高的總分時的得分也高。各母項中的最主要者,其滿分值或加權系數應與較次的母項有較大的差距,滿分值不少于40分,加權系數不小于0.4。
(4) 子項是產品感官檢驗中最基本的項目,是評分的對象。在一個母項下,其子項適當地分得細些,評分結果會更合理。為提高評分的靈敏度與區分產品之間實際質量的差異,可對子項的質量要求再進行分檔,每檔的得分固定為某個值或規定一個給分范圍。對質量要求高。價值昂貴的產品,子項除了分檔以外,還可在檔的下面再分級。
(5) 在感官檢驗的評分辦法中,當那些安全、衛生的質量缺陷嚴重到使產品喪失使用價值或有害人體健康時(如食品中的變質異味),則不論其他項目得分多少,總分一律規定為0分,產品質量判為不合格。
(6) 評分采用100分制時,最高滿分為100分,采用10分制時,最高滿分為10分(當采用其他分制,如50分制時,以此類推),同時還應規定將產品判為合格或判為某個等級的分值。
4.2 評分標準種類
以人體感官為測量儀器對樣品進行評定,要求對評定結果進行量化。就是把感覺的強烈程度以數字形式表達出來,也就是要給評定感覺的強度打分,使用的數字標度為等距標度或比率標度。評分標準可以分為:
(1)9分制評分法﹐評定結果可以轉化為數值,非常不喜歡=1,很不喜歡=2,不喜歡=3,不太喜歡=4,一般=5,稍喜歡=6,喜歡=7,很喜歡=8,非常喜歡=9。
(2)平衡評分法﹐表達的數據有正數也有負數。非常不喜歡=-4,很不喜歡=-3,不喜歡=-2,不太喜歡=-1,一般=0,稍喜歡=1,喜歡=2,很喜歡=3,非常喜歡=4。
(3)5分制評分法﹑無感覺=0,稍稍有感覺=1,稍有感覺=2,有感覺=3,較強感覺=4,非常強感覺5。
(4)10分制評分法、100分制評分法︰10分制和100分制評分方法主要用于對樣品綜合打分,當滿分為10分或者100分時,也就是食品的最佳狀態為10分或者100分,以樣品能達到品質狀態與最好狀態比較進行評分,由于這種評分方法的數據處理較為方便,所以建議推廣使用這種評分方法。
4.3 評分標準質量要求
感官檢驗的評分,就其目的來說,可分為合格檢驗與評優檢驗。評分的目的不同,評分標準的要求側重與方法也應有不同。為減少評分中的誤差,使評出的分數能在很大程度上反映出產品質量的本來面貌,關鍵是要有一個好的評分標準。因此,評分標準本身,也有一個質量要求問題。評分標準本身的質量,可以用可信度、區分度、難度以及分數的平均值與標準差等統計量來衡量。
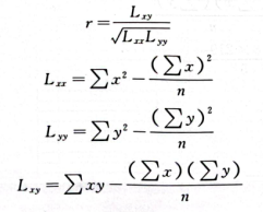
可信度一個好的評分標準,應能較好地反映出被檢產品的實際質量水平,樣本的隨機性與評分人員的人為因素對評分的干擾與影響也較少。用這樣的標準去對任何產品評分或重復檢驗,都不會產生分數離散大或重復性很差的結果,分數能較真實、可靠地反映出產品的實際質量水平,評出的分數也容易讓受評產品的廠家與用戶信服。反映評分標準質量的這一特性指標,稱為評分的“可信度”。
可信度可按此標準評出分數的相關系數來考核。將評分標準的檢驗項目分為項目總數相同,檢查內容的難度相近的兩組。而后分別計算這兩組的總分,求出它們的相關系數r。

式中:n——樣品數。
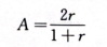
r和y——分別表示兩組的評分分數。評分可信度用A表示,則有:
A>0.7,表示按此標準評出的分數的可信度較好;A=0.4~0.7,表示按此標準評出的分數的可信度一般;A<0.4,表示按此標準評出的分數的可信度較差。
5 評分檢驗法評定過程
5.1 樣品的提供和評價員評定
檢驗前,感官評定組織者首先應確定所使用的評分種類和評分標準。評定時,把所有要求評定的樣品同時提供給評價員,評價員根據自己所感覺的特性強度填寫問答表,樣品的出示順序(評定順序)可利用拉丁方隨機排列。評分檢驗法問答參考表見下表。


評定技術要點:
①根據評價員各自的評定基準進行判斷。
②用增加評價員人數的方法來提高實驗精度。
③在評分時,使用的數字標度為等距標度或比率標度。
進行具體的檢驗時,可根據評定檢驗的目的設計評定標度和提出具體的評定要求。
5.2 結果分析
檢驗結果可以按照評定標度將結果轉為具體數據,如可按照很不好=-3,不好=-2,不太好=-1,一般=0,較好=1,好=2,很好=3的方法把評定轉變為數值。通過F檢驗及Duncan的復合比較檢驗來分析各樣品、各特性間的差異情況。
參考書籍:李莉 金鵬主編,《食品感官評價》

