Flash Profile(FP)法是最接近傳統描述性分析的快速感官分析方法,是Dairou和Sieffermann在自由選擇剖面的基礎上提出的一種新方法,該方法舍去了傳統方法中評價員的培訓環節,增加了樣品的排序環節。實驗中,每一個評價員都有自己的感官屬性清單和強度判斷標尺,并根據感官屬性強度進行排序。相較于評價員給出感官屬性強度,這種方法更易執行。Flash Profile檢驗法為使用未經培訓的消費者作為評價員提供了可能性。
招募評價員,數量沒有強制要求,通常不少于4位;評價員不必是產品專家,評價員不需要在特定產品上進行培訓;當使用消費者作為評價員時,數量從20~200位均有,通常是40~50位。
感官專業人員對評價員進行產品介紹,要求評價員根據自己對樣品的理解產生對樣品感知的所有描述詞。
評價員看其他評價員的描述詞,再在自己的清單上增加或者替代,確定測試描述詞。
評價員評價樣品,并對樣品的不同感官屬性強度進行排序;在排序階段,允許重復品嘗樣品,根據自己的標尺把樣品按由低到高的順序排列。
感官專業人員收集整理數據,分析實驗數據,獲得實驗結論。統計分析方法可使用非參數統計方法,如Friedman 檢驗、Page 檢驗、相關性分析等。
Flash Profile 法的優點是評價小組不必形成標準化的描述語言,因此也不需要具有明確定義的標準參比樣;不需要針對某一個產品進行特定的培訓,同時,只需要較少的時間收集數據,也更加地節約成本。
Flash Profile 法的缺點包括因為實驗使用排序標度,因此每次排序至少需要對比兩個樣品,當評價多個樣品時,工作量會劇增,一般評價樣品不建議多于6個;實驗結果僅適用于單次試驗樣品間比較,多次實驗數據不能進行橫向比較;因為數據是排序結果,不代表強度大小,不能獲取關于感官屬性強度之間具體差異。
Flash Profile 法對感官屬性不熟悉,或者對于在探索階段的產品測試具有明顯的優勢;當實驗同時測試了消費者喜好度時,能夠獲得喜好地圖,對于產品開發具有較大意義;因此該方法常用于項目開始階段。
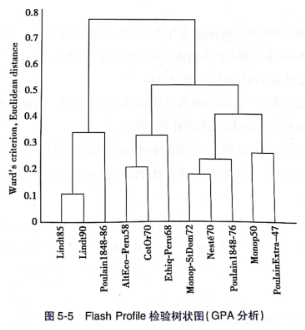
試驗樣品為市售巧克力11種,巧克力在品牌、可可含量、成分上存在差別;使用學生作為評價員,實驗前對感官進行使用方法上的培訓;實驗中要求評價員自由選擇感官屬性并對樣品的感官屬性強度進行性排序。實驗結束后,根據不同評價員的實驗結果,生成樣品描述語言;使用獨立樣本主成分分析法對實驗結果進行分析,分析評價員的評價維度;使用廣義Procrustes分析(GPA)和對因素分析(MFA)可獲得FP 感官地圖,如圖5-4編號。FP 感官圖能夠清晰表示出樣品的相關性、樣品簇、方差;使用聚類分析可獲得樣品的樹狀圖譜。通過樹狀圖5-5,可以便利的展示樣品間的相關性。



