一、適用范圍
此方法適用于檢驗兩個產品的樣品間是否存在可感覺到的感官差別,三點檢驗法要求強迫選擇,也就是評價員必須做出選擇,不能選擇三個樣品一樣。三點檢驗法適用于檢驗兩個樣品間的未知差別,也可應用于優選、培訓和檢驗感官評價員。
三點檢驗評價效果較好,但是此法限制在余味強和(或)味覺持久的產品上使用,同時只有當產品盡可能地均質時才能使用這個方法。
二、樣品提供和評價員評定 實驗人員向評價員提供一組三位編碼的樣品,并告知其中兩個是相同的,要求評價員挑出其中單個樣品。為了不影響評定結果,應該使三個樣品的排列順序、出現次數的概率相等,可采用以下6個組合提供樣品:BAA ABA AAB ABB BAB BBA。
在實驗中,6組出現的概率也應相等(即在第一組6個評價員中使用每個序列一次,在下一組6個評價員中再一次使用每個序列,以此類推)。當評價員人數不足6的倍數時,會使結果的不平衡性降至最低。
三、結果分析與表述三點差別檢驗法所需最少正確答案數見下表。

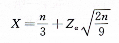
若有效問答表數在表中沒有出現,則根據二項式的近似值計算其近似值,表明有差異的評價的最少數使用下式計算。若回答正確的問答表數大于或等于X,那么就說明兩樣品間有差異。

式中:X——各顯著水平下應該回答正確的數值;
n——答案數目;
Zα——常數,不同顯著水平Zα值不同,其中Zα隨顯著性水平變化而異:α=0.20時,0.84;α=0.10時,1.28;α=0.05時,1.64;α=0.01時,2.33;α=0.001時,3.09。
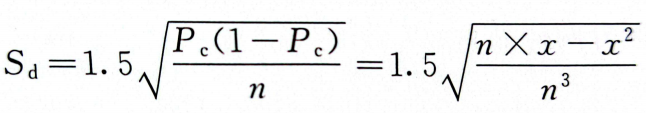
如果需要,可以根據能區分樣品的人數比例計算置信區間。根據感官評定小組中能實際區分樣品差異的人數比例計算置信區間(即校正概率),采用正態分布近似值做如下計算:
pd=1.5pc-0.5


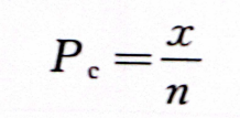
式中: x—正確答案數;
n——評價員總數;
Pc——正確率;
Pd——識別人員比例;
Sd——Pd標準差;
Zα——標準正態分布的臨界值。對于90%的置信區間,Zα=1.28;對于95%的置信區間,Zα=1.64;對于99%的置信區間,Zα=2.33。
參考書籍:李莉 金鵬主編,《食品感官評價》

